반응형
BPMN에서는 게이트웨이 없이 직접 시퀀스 플로우와 엑티비티를 연결할 수 있다.
1. 조건부 시퀀스 플로우

시퀀스 플로우 시작점에 다이아몬드 표시를 붙혀서 표기한다.
포괄적, 배타적 게이트웨이 모두 대응 가능 하다.
2. 기본 시퀀스 플로우

시퀀스 플로우 시작점에 사선을 그어서 표기한다.
다른 어떤 조건에도 해당되지 않을 때 선택 된다(else 개념).
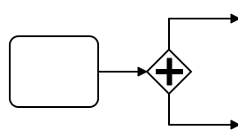
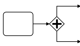
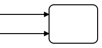
3. 병렬 게이트 대체 플로우

조건 다이아몬드 없는 일반 시퀀스 플로우가 2개 이상인 경우 병렬 게이트웨이와 동일 하다.
즉 다음 모델링과 동일하다.

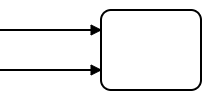
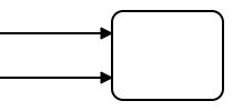
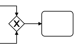
4. 배타적 시퀀스 플로우 병합

게이트웨이 거치지 않고 곧바로 시퀀스 플로우가 엑티비티에 연결(도착)되는 경우 해당 토큰은 기다림 없이
즉시 엑티비티를 실행하게 된다. 따라서 배타적 시퀀스 플로우를 병합하기에 적합 하다.
일반적으로 배타적이지 않은 경로를 게이트웨이 없이 병합하는 모델링은 오류이다.
(단 경우에 따라 실제 이렇게 되어야 하는 경우에는 가능하다)
이 경우 다음의 모델링과 동일한 표현이다.

5. 무조건 시퀀스 플로우

기본 시퀀스 플로우가 어떤 조건에도 해당되지 않을 때 선택되는 것과 달리
조건에 관계없이 무조건(항상) 처리되어야 하는 플로우인 경우에 사용 한다.
이때 각 조건은 포괄적이든 배타적이든 관계 없다.
반응형
'개발정보' 카테고리의 다른 글
| [javascript] 함수 정의 3가지 방법 (0) | 2020.12.09 |
|---|---|
| [javascript] !!(이중 not) 연산자 (0) | 2020.12.04 |
| [C#] 참조된 어셈블리 컴파일 오류 (0) | 2019.07.26 |
| (C#) SOAP(웹서비스) API 호출 - 2 (0) | 2019.06.24 |
| (C#) SOAP(웹서비스) API 호출 - 1 (0) | 2019.06.24 |